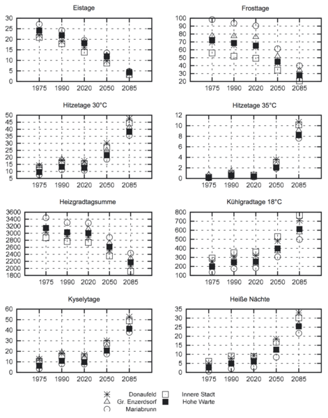
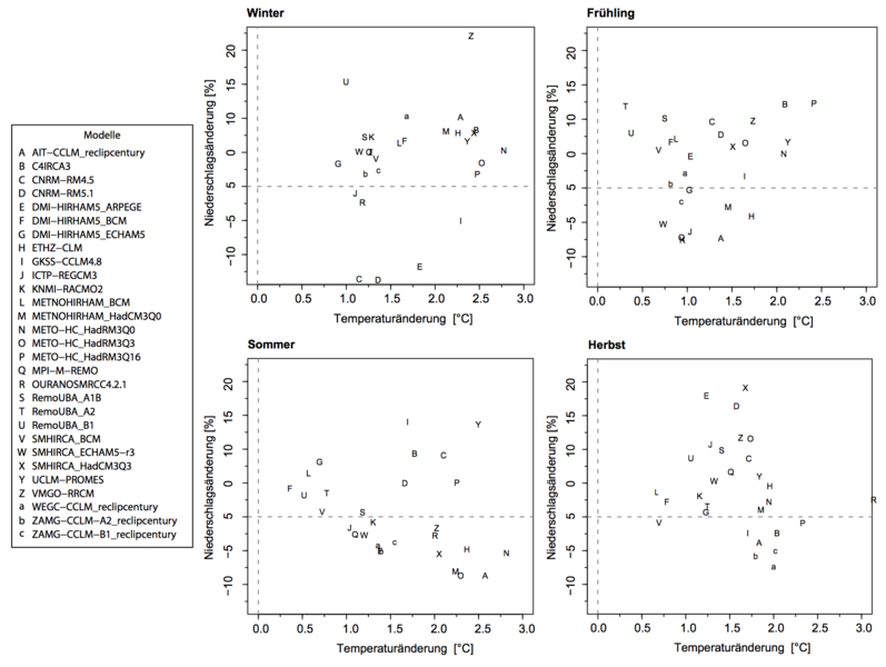
B1K4

Volume 1, Chapter 4: Future Climate Development

The figures, tables and boxes on this website are subject to the Creative Commons non-commercial 3.0 licence and may be downloaded free of charge and used for non-commercial purposes, on the condition that the original source is correctly cited (found in the figure captions in the report) along with the following citation:

Ahrens, B., H. Formayer, A. Gobiet, G. Heinrich, M. Hofstätter, C. Matulla, A.F. Prein und H. Truhetz, 2014: Zukünftige Klimaentwicklung. In: Österreichischer Sachstandsbericht Klimawandel 2014 (AAR14). Austrian Panel on Climate Change (APCC), Verlag der Österreichischen Akademie der Wissenschaften, Wien, Österreich, S. 301–346.

Haimberger, L., P. Seibert, R. Hitzenberger, A. Steiner und P. Weihs (2014): Das globale Klimasystem und Ursachen des Klimawandels. In: Österreichischer Sachstandsbericht Klimawandel 2014 (AAR14).
Austrian Panel on Climate Change (APCC), Verlag der Österreichischen Akademie der Wissenschaften,
Wien, Österreich, S. 137–172. - See more at: www.ccca.ac.at/de/klimawissen/apcc/zitierweise/

Haimberger, L., P. Seibert, R. Hitzenberger, A. Steiner und P. Weihs (2014): Das globale Klimasystem und Ursachen des Klimawandels. In: Österreichischer Sachstandsbericht Klimawandel 2014 (AAR14).
Austrian Panel on Climate Change (APCC), Verlag der Österreichischen Akademie der Wissenschaften,
Wien, Österreich, S. 137–172. - See more at: www.ccca.ac.at/de/klimawissen/apcc/zitierweise/